Week
number
.nz
Calendar with week numbers and holidays
How-to
☰
English holidays 1388
1388 calendar
1386
1387
1388
1389
1390
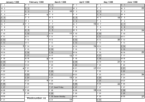
Date
Holiday
Thursday, 27 March
Good Friday
Sunday, 30 March
Easter Monday
Thursday, 25 December
Christmas Day
Friday, 26 December
Boxing Day
1386
1387
1388
1389
1390
United States
Canada
England
Scotland
Wales
Northern Ireland
Ireland
Australia
New Zealand
Home